强化学习的数学原理-第四章

2025.11.30

值迭代算法(value iteration)

由上一章可知 $$ v_{k+1} = \max_{\pi \in \Pi} (r_{\pi} + \gamma P_\pi v_k) $$ 当 $k \to \infty$ 时,$v_k$ 以指数速度收敛到$v^*$。

值迭代算法包括两个步骤:

  1. 策略更新:根据上一步计算出的估计值向量,求解出最好的策略。 $$ \pi ^ * = \arg\max_{\pi \in \Pi} (r_\pi + \gamma P_\pi v^* ) $$

  2. 值更新:在得到当前最好策略之后,通过以下式子计算新的估计值向量。 $$ v_{k+1} = r_{\pi_{k+1}} + \gamma P_{\pi_{k+1}}v_k $$ 之后反复进行迭代,直到 $v_k$ 收敛,例如 $||v_{k+1} - v_{k}||$ 小于一个很小的数。

    为什么称 $v_k$ 为估计值向量而不是状态值

    状态值的定义是:从某个状态出发的期望回报等于立即奖励 + 折扣后的下一状态期望回报。这也表明必须要满足: $$ v_\pi = r_\pi + \gamma P_\pi v_\pi $$ 的 $v_\pi$ 才能被称为状态值,上面的 $v_k$ 和 $v_{k+1}$ 都是迭代中的中间值,而最终迭代完成的值才是状态值。

算法流程如图所示:

图片走丢了...
算法流程图

下面用一个简单的例子详细的描述该算法的原理。

已知 $r_{boundary} = r_{forbidden} = −1 $ , $r_{target} = 1$ 。黄色为禁行区域,蓝色为目标区域。

图片走丢了...

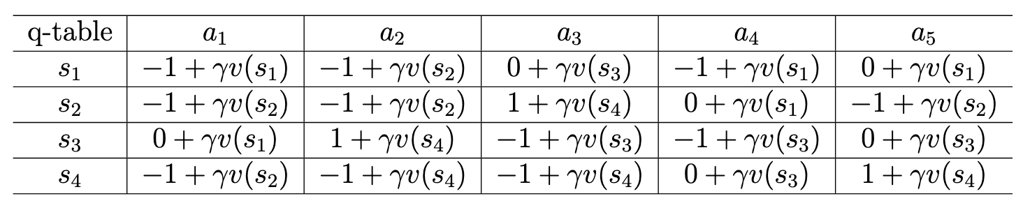
初始值 $v_0$ 可以任意选择,这里选择为 $v_0 (s_1) = v_0 (s_2) = v_0 (s_3) = v_0 (s_4) = 0$ ,我们可以建立一个q-table

图片走丢了...

注意往上方移动为 $a_1$,按顺时针方向为$a_1、$a_2$、$a_3$。将 $v_0$都代入公式后,得到如下的表:

图片走丢了...

可以对每个状态选出动作值最大的动作,作为更新的策略。由于这里s1无论是原地不动还是进入s3,它所获得的奖励都是0,所以随机选取了一个最好策略为原地不动。

图片走丢了...

然后将每个状态下最大的动作值作为值更新。

图片走丢了...

这里的 $v_1 (S_1) = 0$ 表示从 $S_1$ 出发的最好回报为0。

可以得到目前的策略为:

图片走丢了...

接着继续进行迭代:

图片走丢了...

解释一下这里的 $(s_2, a_2)$ 是如何计算的。

首先我们知道,值更新 = 立即奖励 + 折扣后的下一状态期望回报。

从 $s_1$ 出发执行 $a_2$ 会进入 $s_2$,其立即奖励为-1;到达 $s_2$ 之后,已知从 $s_2$ 出发的最好回报为1,再所以加上折扣*1。

计算完成并进行策略更新后得到的策略如下图:

图片走丢了...
第二次迭代后的策略

我们可以发现,原本s1是选择原地不动的,但是经过一次迭代之后它选择了往s3走。这是因为,在第二次迭代中s1如果还是选择原地不动,那么它的奖励仍然是0;但是如果选择向s3走,那么它会加上一个s3的最好回报,也就是奖励变为1。

我把这种迭代方式称为辐射迭代,因为这看起来像是先找靠近终点状态的最优策略,再逐渐扩散找到更远处状态的最优策略。

策略迭代算法(policy iteration)

策略迭代算法包括两个步骤:

  1. 策略评价:用于评估上一次迭代得到的策略。通过对状态估计值向量的多次迭代取收敛求解下面贝尔曼方程: $$ v_{\pi_k} = r_{\pi_{k}} + \gamma P_{\pi_{k}}v_{\pi_k} $$

  2. 策略改进:用上一步得到的状态值 $v_{\pi_k}$ 改进策略,得到更新的策略。 $$ \pi_{k+1} = \arg\max_{\pi \in \Pi} (r_\pi + \gamma P_\pi v_{\pi_k}) $$

迭代过程: $$ \pi_0 \xrightarrow{\text{评估}} v_{\pi_0} \xrightarrow{\text{改进}} \pi_1 \xrightarrow{\text{评估}} v_{\pi_1} \xrightarrow{\text{改进}} \pi_2 \xrightarrow{\text{评估}} \dots \xrightarrow{\text{改进}} \pi^* $$ 由于策略评价最终会收敛到最优状态值 $v^$,所以策略也会收敛到最优策略 $\pi^ $。

这种迭代方式也是先找到靠近target的最优策略,再向周围辐射。

值迭代与策略迭代的区别?

值迭代:在值更新中计算出下一个估计值后,立刻用新的状态值反解策略(策略更新)。决定更新的是估计值,反解策略只是为了计算下一个估计值。它是在不断交替值更新和策略更新中得到收敛的。

策略迭代:在单步中收敛出状态值,然后用这个状态值去更新出新的策略。此时,决定更新的是策略,收敛状态值只是为了求出更好的策略。此外,它是收敛后才更新的,每次更新中都要进行一次收敛。

总结一下,值迭代算法是对每一次更新进行收敛策略迭代是对每一次收敛进行更新。

截断策略迭代算法

根据上面讨论,可以知道值迭代算法在计算一次估计值后,马上进行策略更新: $$ v_{k+1} = r_{\pi_{k+1}} + \gamma P_{\pi_{k+1}}v_k $$ 而策略迭代算法是在收敛出状态值后,再进行策略更新: $$ v_{\pi_k} = r_{\pi_{k}} + \gamma P_{\pi_{k}}v_{\pi_k} $$ 一个是只计算一次,一个是计算无穷次。这是两个极端,那是否可以取一个中间的策略呢?这就是截断策略迭代算法

我们可以确定一个迭代次数 $j$,当估计值的迭代次数达到 $j$时,就直接进行策略更新。

图片走丢了...

实际上,策略迭代算法只在理论上可行,因为我们不可能将一个估计值真的迭代无穷次后再进行策略更新。所以,真正在实现的策略迭代算法,其实就是截断策略迭代算法。

下面给出三种迭代算法的收敛速度的示意图:

图片走丢了...
收敛迭代次数对比图

可以看出,策略迭代算法所需的迭代次数 $k$ 最少,值迭代算法所需的迭代次数最多,而截断策略迭代算法夹在中间。

注意:这并不意味着策略迭代就是最好最快的,因为此时横轴是迭代次数 $k$,而不是时间。虽然策略迭代的迭代次数少,但是它在每一次的迭代中都会执行无数次迭代直到收敛出状态值。所以其迭代时间不一定是最短的。


更多关于全国大学生智能汽车的分享,请访问个人主页。 期待你的评论与交流!